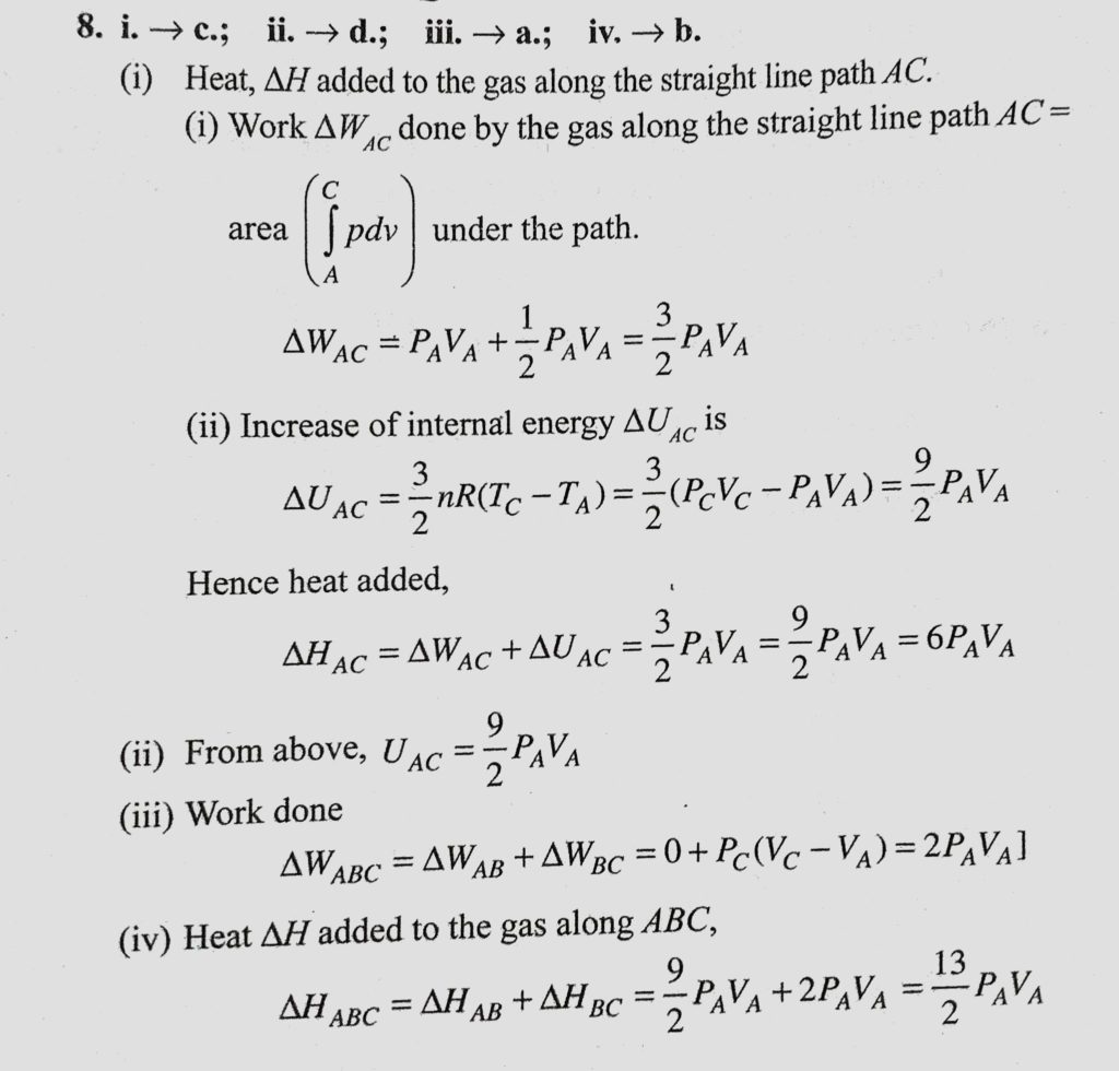
n kmol of a monochromatic ideal gas is taken quasi-statically from state A to state C along the straight line shown in the given figure. Alternatively, the same gas is taken quasi statically n kmol of a monochromatic ideal gas is taken quasi-statically from state A to state C along the straight line shown in the given figure. Alternatively the same gas is taken quasi statically October 29, 2020 Category: Uncategorised (JEE Advanced Physics by BM Sharma + GMP Solutions) , Facebook Messenger WhatsApp Share this:TwitterFacebook Related