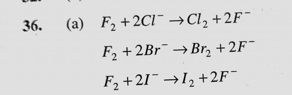
Mark the element which displaces three halogens from their compounds (a) F (b) Cl (c) Br (d) I Mark the element which displaces three halogens from their compounds (a) F (b) Cl (c) Br (d) I November 24, 2020 Category: Uncategorised (JEE Advanced Physics by BM Sharma + GMP Solutions) , Facebook Messenger WhatsApp Share this:TwitterFacebook Related