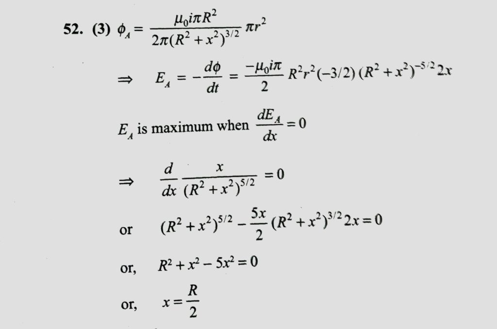
Loop A of radius r << R moves toward loop B with a constant velocity V in such a way that their planes are always parallel. what is the the distance between the two loops ( x ) when the induced emf in loop A is maximum ? the current in wire AB is ( ab is one of the diameters ) The radius of the circular conducting loop shown in figure is R. Magnetic field is decreasing at a constant rate alpha. Resistance per unit length of the loop is rho. Then October 20, 2020 Category: Uncategorised (JEE Advanced Physics by BM Sharma + GMP Solutions) , Facebook Messenger WhatsApp Share this:TwitterFacebook Related