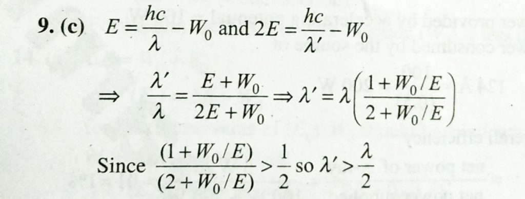
Light of wavelength λ strikes a photo – sensitive surface and electrons are ejected with kinetic energy is to be increased to 2E , the wavelength must be changed to λ’ where Light of wavelength λ strikes a photo - sensitive surface and electrons are ejected with kinetic energy is to be increased to 2E the wavelength must be changed to λ' where September 13, 2020 Category: Uncategorised (JEE Advanced Physics by BM Sharma + GMP Solutions) , Facebook Messenger WhatsApp Share this:TwitterFacebook Related