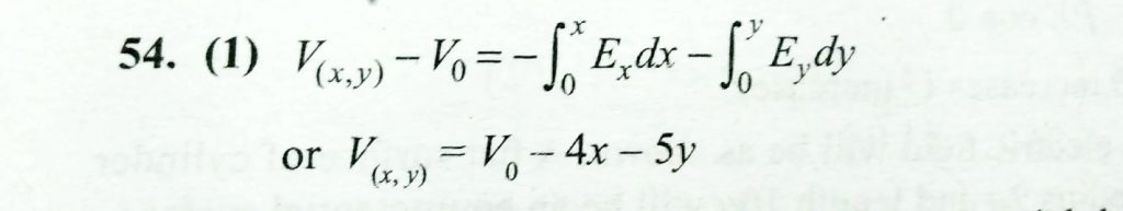
Let V0 be the potential at the origin in an electric field E = 4i + 5j. The potential at the point ( x, y ) is Let V0 be the potential at the origin in an electric field E = 4i + 5j. The potential at the point ( x y ) is November 6, 2020 Category: Uncategorised (JEE Advanced Physics by BM Sharma + GMP Solutions) , Facebook Messenger WhatsApp Share this:TwitterFacebook Related