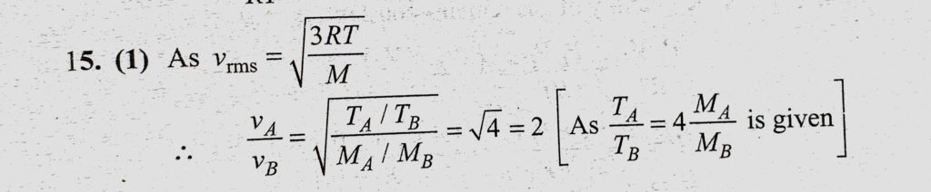
Let A and B be the two gases such that TA/MA = 4 TB/MB; where T is the temperature and M is the molecular mass. If VA and vB are the rms speeds, then the ratio vA/vB will Let A and B be the two gases such that TA/MA = 4 TB/MB; where T is the temperature and M is the molecular mass. If VA and vB are the rms speeds then the ratio vA/vB will October 27, 2020 Category: Uncategorised (JEE Advanced Physics by BM Sharma + GMP Solutions) , Facebook Messenger WhatsApp Share this:TwitterFacebook Related