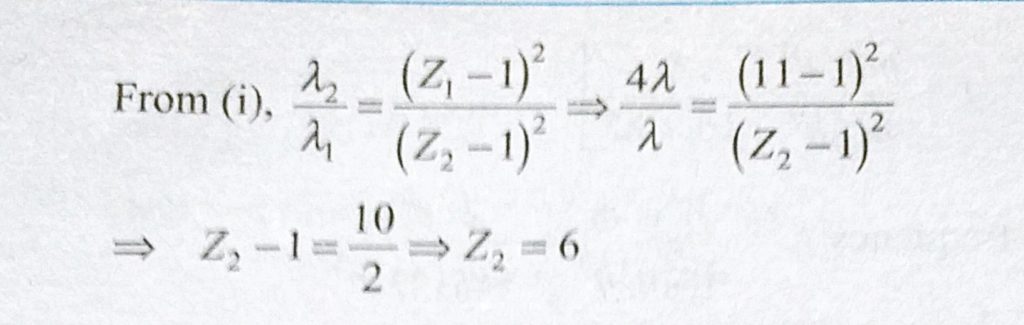
K alpha wavelength emitted by an atom, of atomic number Z = 11 is lemda. Find the atomic number for an atom that emits K alpha radiation with wavelength 4 lemda. K alpha wavelength emitted by an atom of atomic number Z = 11 is lemda. Find the atomic number for an atom that emits K alpha radiation with wavelength 4 lemda. October 16, 2020 Category: Uncategorised (JEE Advanced Physics by BM Sharma + GMP Solutions) , Facebook Messenger WhatsApp Share this:TwitterFacebook Related