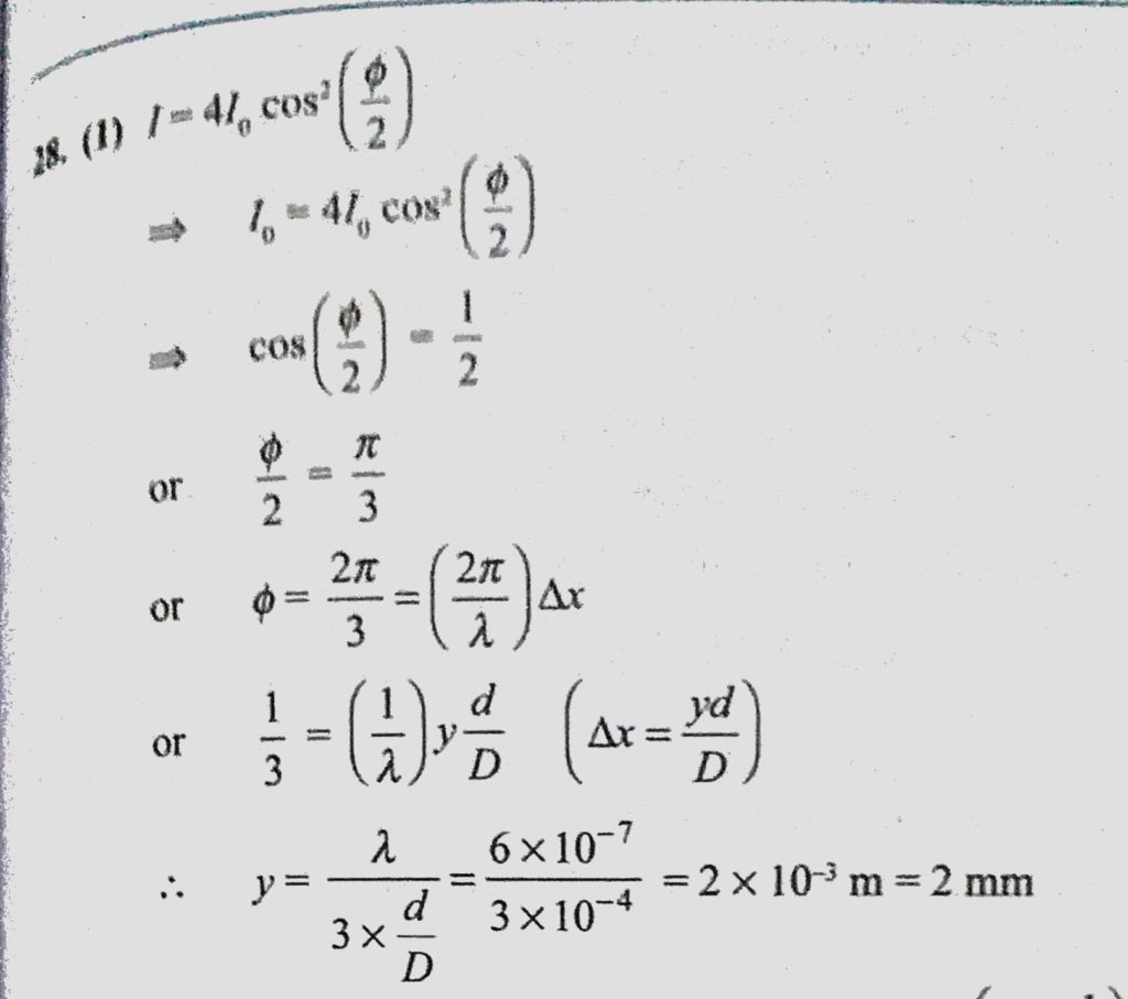
In Young’s double-slit experiment d/D = 10^-4 (d = distance between slits, D = distance of screen from the slits). At point P on the screen, resulting intensity is equal to the intensity due to the D = distance of screen from the slits). At point P on the screen In Young's double-slit experiment d/D = 10^-4 (d = distance between slits resulting intensity is equal to the intensity due to the October 10, 2020 Category: Uncategorised (JEE Advanced Physics by BM Sharma + GMP Solutions) , Facebook Messenger WhatsApp Share this:TwitterFacebook Related