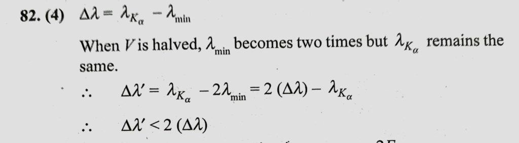
In X-ray tube, when the accelerating voltage V is halved, the difference between the wavelength of K alpha line and minimum wavelength of continuous X-ray spectrum In X-ray tube the difference between the wavelength of K alpha line and minimum wavelength of continuous X -ray spectrum when the accelerating voltage V is halved October 16, 2020 Category: Uncategorised (JEE Advanced Physics by BM Sharma + GMP Solutions) , Facebook Messenger WhatsApp Share this:TwitterFacebook Related