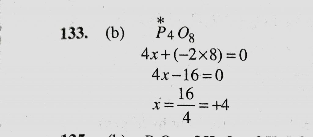
In which compound, the oxidation state of phosphorus is +4 (a) P4O11 (b) P4O8 (c) P4O6 (d) H3PO4 In which compound the oxidation state of phosphorus is +4 (a) P4O11 (b) P4O8 (c) P4O6 (d) H3PO4 November 23, 2020 Category: Uncategorised (JEE Advanced Physics by BM Sharma + GMP Solutions) , Facebook Messenger WhatsApp Share this:TwitterFacebook Related