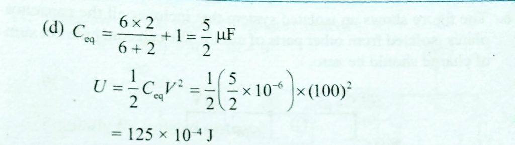
In the system is in steady state. Then a. VA−VB=_______ b. VB−VC=______ c. VD−Ve=______ d. The energy stored in the circuit is “________”` In the system is in steady state. Then a. VA−VB=_______ b. VB−VC=______ c. VD−Ve=______ d. The energy stored in the circuit is "________"` November 7, 2020 Category: Uncategorised (JEE Advanced Physics by BM Sharma + GMP Solutions) , Facebook Messenger WhatsApp Share this:TwitterFacebook Related