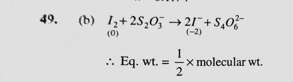
In the reaction I2 + 2S2O3 to 2I- + S4O6 2-; the equivalent weight of iodine will be equal to In the reaction I2 + 2S2O3 to 2I- + S4O6 2-; the equivalent weight of iodine will be equal to December 7, 2020 Category: Uncategorised (JEE Advanced Physics by BM Sharma + GMP Solutions) , Facebook Messenger WhatsApp Share this:TwitterFacebook Related