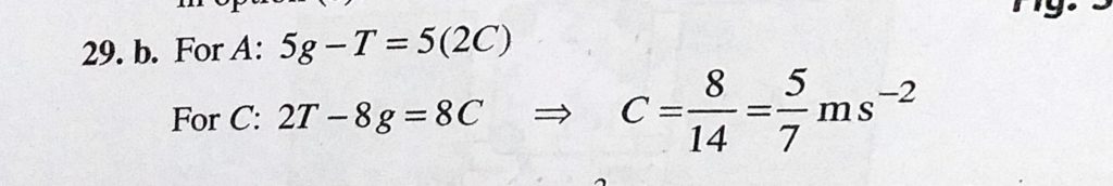
In the following arrangement, the system is initially at rest. The 5 kg block is now released. Assuming the pulleys and string to be massless and smooth, the acceleration of block C will be In the following arrangement the acceleration of block C will be the system is initially at rest. The 5 kg block is now released. Assuming the pulleys and string to be massless and smooth September 29, 2020 Category: Uncategorised (JEE Advanced Physics by BM Sharma + GMP Solutions) , Facebook Messenger WhatsApp Share this:TwitterFacebook Related