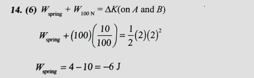
In the figure shown initially spring is in relaxed state and blocks are at rest. Now 100 N force is applied on block A and become 2 m/s and that of B 4 m/s and block A displaced by amount 10 cm towards left and spring is streached by amount 30 cm. Then work done by spring force on A is Wo joule. Find Wo in J

