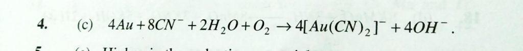
In the equation 4M +8CN^- 2H2O +O2 gives 4[M (CN 2 ]6- +4OH^- Identify the metal M In the equation 4M +8CN^- 2H2O +O2 gives 4[M (CN 2 ]6- +4OH^- Identify the metal M November 24, 2020 Category: Uncategorised (JEE Advanced Physics by BM Sharma + GMP Solutions) , Facebook Messenger WhatsApp Share this:TwitterFacebook Related