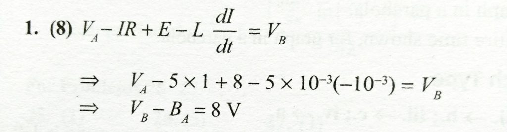
In the circuit ( figure ) what is potential difference Vb – Va ( in V ) when current I is 5 A and is decreasing at the rate of 10^3 A/s? In the circuit ( figure ) what is potential difference Vb - Va ( in V ) when current I is 5 A and is decreasing at the rate of 10^3 A/s? October 24, 2020 Category: Uncategorised (JEE Advanced Physics by BM Sharma + GMP Solutions) , Facebook Messenger WhatsApp Share this:TwitterFacebook Related