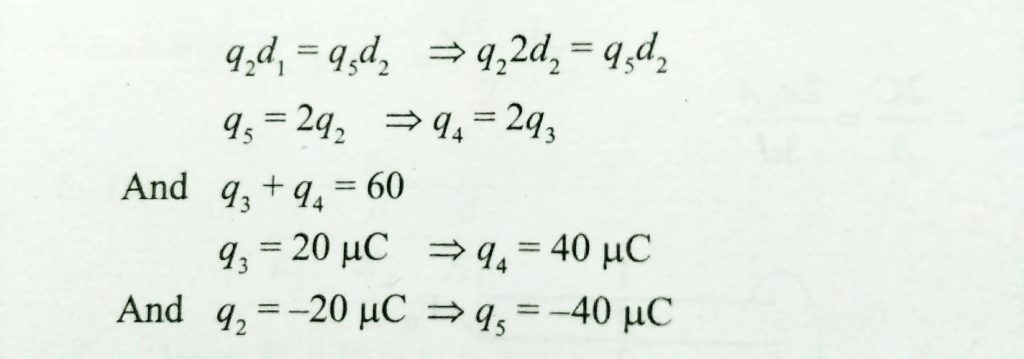
In the arrangement shown in figure , plate B is given a charge equal to 60 muC . The ratio d1/d2 is 2. Then In the arrangement shown in figure plate B is given a charge equal to 60 muC . The ratio d1/d2 is 2. Then November 7, 2020 Category: Uncategorised (JEE Advanced Physics by BM Sharma + GMP Solutions) , Facebook Messenger WhatsApp Share this:TwitterFacebook Related