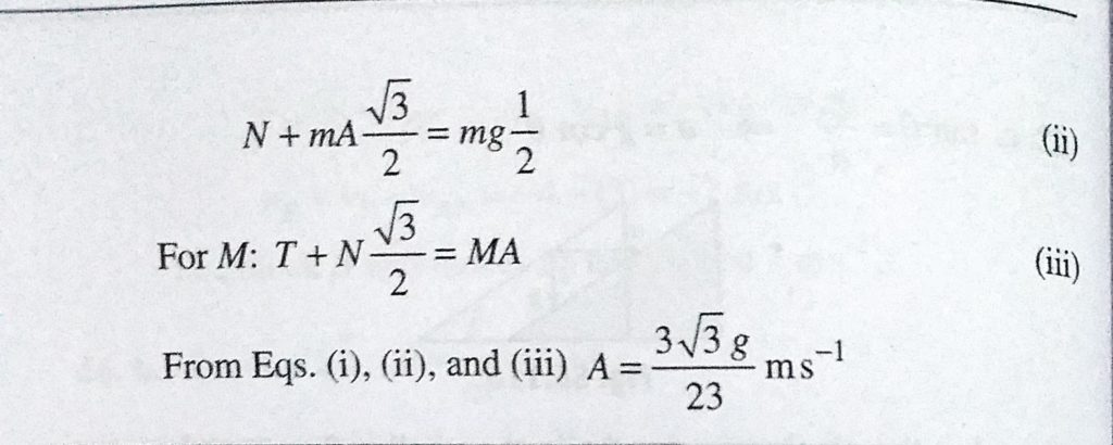
In the arrangement shown in Fig. 6.355, the block of mass m = 2 kg lies on the wedge of mass M = 8 kg. The initial acceleration of the wedge, if the surfaces are smooth is if the surfaces are smooth is In the arrangement shown in Fig. 6.355 the block of mass m = 2 kg lies on the wedge of mass M = 8 kg. The initial acceleration of the wedge September 29, 2020 Category: Uncategorised (JEE Advanced Physics by BM Sharma + GMP Solutions) , Facebook Messenger WhatsApp Share this:TwitterFacebook Related