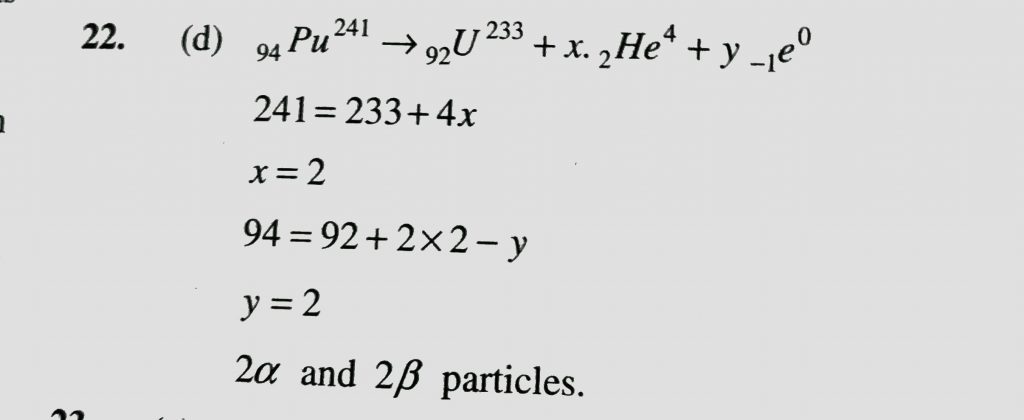
In successive emission of alpha and bita particels , how many alpha and bita should be emitted for the natural ( 4n + 1 ) series , conversion of 94 Pu^241 to 92 U^233 conversion of 94 Pu^241 to 92 U^233 how many alpha and bita should be emitted for the natural ( 4n + 1 ) series In successive emission of alpha and bita particels February 13, 2021 Category: Uncategorised (JEE Advanced Physics by BM Sharma + GMP Solutions) , Facebook Messenger WhatsApp Share this:TwitterFacebook Related