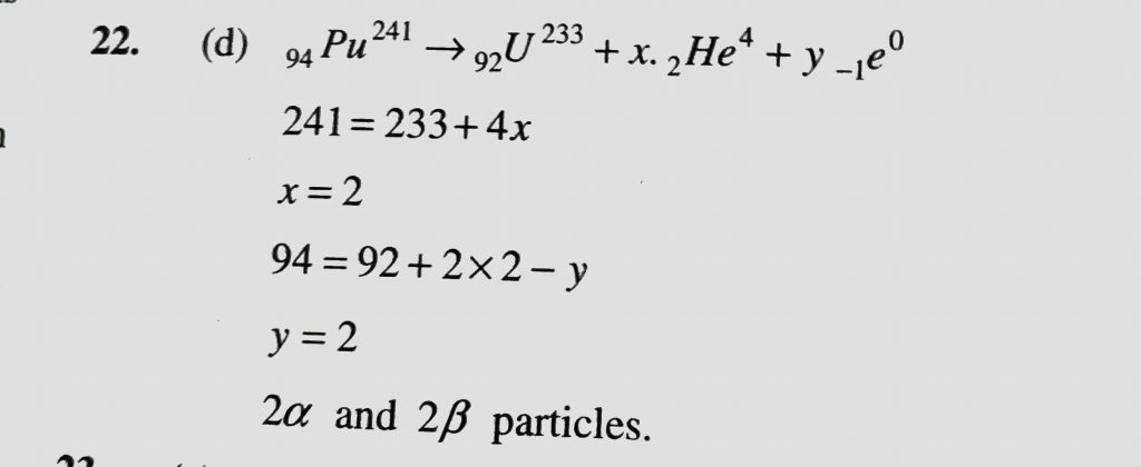
In successive emission of alpha and bita , how many alpha and bita particles should be emitted for the natural ( 4n + 1 ) series, conversion of 94Pu^241 to 92U^233 conversion of 94Pu^241 to 92U^233 how many alpha and bita particles should be emitted for the natural ( 4n + 1 ) series In successive emission of alpha and bita February 13, 2021 Category: Uncategorised (JEE Advanced Physics by BM Sharma + GMP Solutions) , Facebook Messenger WhatsApp Share this:TwitterFacebook Related