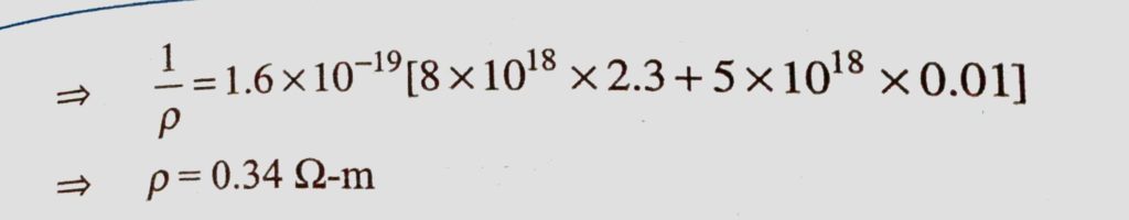
In semiconductor, the concentrations of electrons and holes are 8 * 10^18/m^3 and 5 * 10^18/m, respectively. If the mobilities of electrons and hole are 2.3 m^2/volt-sec and In semiconductor respectively. If the mobilities of electrons and hole are 2.3 m^2/volt-sec and the concentrations of electrons and holes are 8 * 10^18/m^3 and 5 * 10^18/m October 22, 2020 Category: Uncategorised (JEE Advanced Physics by BM Sharma + GMP Solutions) , Facebook Messenger WhatsApp Share this:TwitterFacebook Related