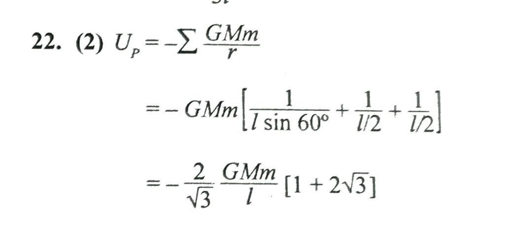
In problem 21, what is the gravitational potential energy of the mass m ? In problem 21 what is the gravitational potential energy of the mass m ? October 3, 2020 Category: Uncategorised (JEE Advanced Physics by BM Sharma + GMP Solutions) , Facebook Messenger WhatsApp Share this:TwitterFacebook Related