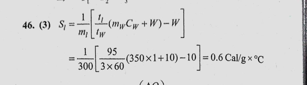
In Newton’s experiment of cooling, the water equivalent of two similar calorimeters is 10 g each. They are filled with 350 g of water and 300 g of liquid (equal volumes) separately. In Newton's experiment of cooling the water equivalent of two similar calorimeters is 10 g each. They are filled with 350 g of water and 300 g of liquid (equal volumes) separately. October 25, 2020 Category: Uncategorised (JEE Advanced Physics by BM Sharma + GMP Solutions) , Facebook Messenger WhatsApp Share this:TwitterFacebook Related