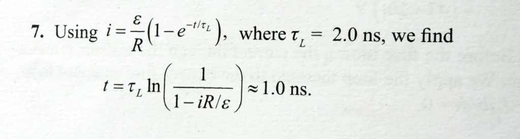
In given figure, R = 4 K ohm, L = 8 uH, and the ideal battery has e = 20 V. How long after switch S is closed is the current 2 mA ? and the ideal battery has e = 20 V. How long after switch S is closed is the current 2 mA ? In given figure L = 8 uH R = 4 K ohm October 22, 2020 Category: Uncategorised (JEE Advanced Physics by BM Sharma + GMP Solutions) , Facebook Messenger WhatsApp Share this:TwitterFacebook Related