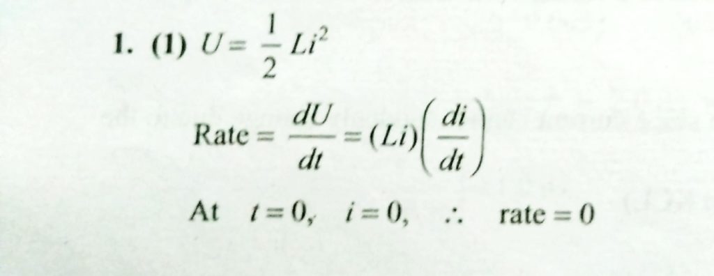
In an LR circuit connected to a battery, the rate at which energy is stored in the inductor is plotted against time during the growth of current in the circuit. which of the following best represents the resulting curve ? In an LR circuit connected to a battery the rate at which energy is stored in the inductor is plotted against time during the growth of current in the circuit. which of the following best represents the resulting curve ? October 22, 2020 Category: Uncategorised (JEE Advanced Physics by BM Sharma + GMP Solutions) , Facebook Messenger WhatsApp Share this:TwitterFacebook Related