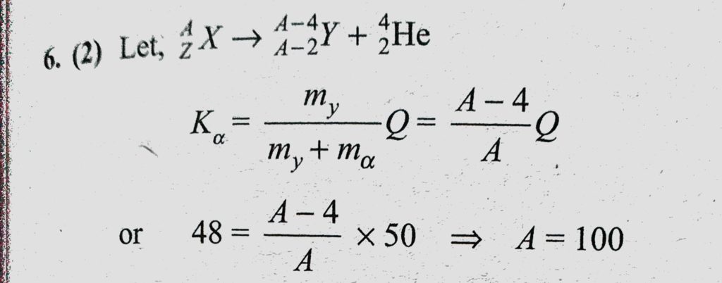
In an alpha decay, the kinetic energy of alpha particle is 48 MeV and Q value of the reaction is 50 MeV. The mass number of the mother nucleus is (assume that daughter nucleus is in ground state) In an alpha decay the kinetic energy of alpha particle is 48 MeV and Q value of the reaction is 50 MeV. The mass number of the mother nucleus is (assume that daughter nucleus is in ground state) October 17, 2020 Category: Uncategorised (JEE Advanced Physics by BM Sharma + GMP Solutions) , Facebook Messenger WhatsApp Share this:TwitterFacebook Related