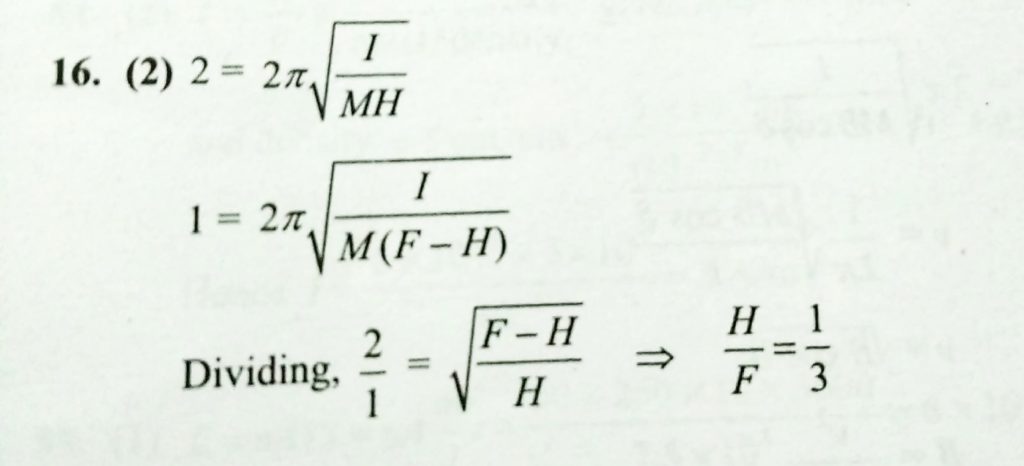
In a vibration magnetometer, the time period of a bar magnet oscillating in horizontal componnt of earth’s magnetic field is 2sec. When a magnet is brought near and parallel to it, the time period reduces to 1sec. The ratio H/F of the horizontal component H and the field F due to magnet will be

