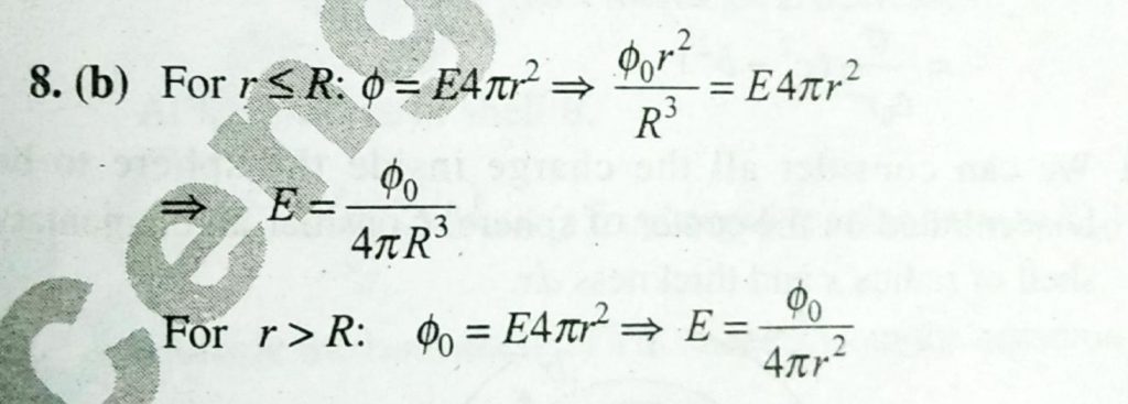
In a region of space having a spherical symmetric distribution of charge , the electric flux enclosed by a concentric spherical Gaussion surface, varies with radius r as ϕ={ϕ 0r^2/R^3, r≤R ϕ0 , <R where R and ϕ0 are the constants. <R where R and ϕ0 are the constants. In a region of space having a spherical symmetric distribution of charge r≤R ϕ0 the electric flux enclosed by a concentric spherical Gaussion surface varies with radius r as ϕ={ϕ 0r^2/R^3 September 17, 2020 Category: Uncategorised (JEE Advanced Physics by BM Sharma + GMP Solutions) , Facebook Messenger WhatsApp Share this:TwitterFacebook Related