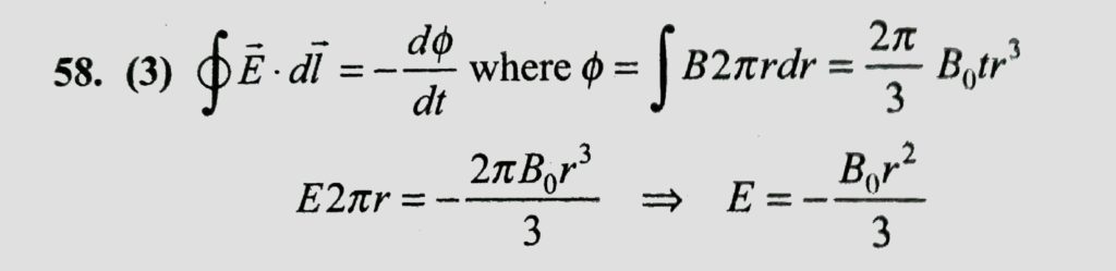
In a region at a distance r from z axis , magnetic field B = B0rtk is present where B0 is constant and t is time. Then the magnitude of induced electric field at a distance r from z axis is given by In a region at a distance r from z axis magnetic field B = B0rtk is present where B0 is constant and t is time. Then the magnitude of induced electric field at a distance r from z axis is given by October 20, 2020 Category: Uncategorised (JEE Advanced Physics by BM Sharma + GMP Solutions) , Facebook Messenger WhatsApp Share this:TwitterFacebook Related