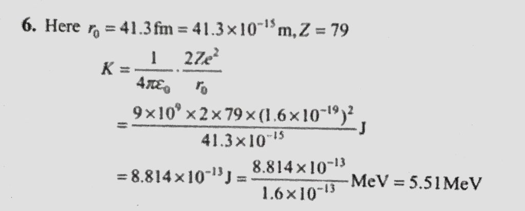
In a head-on collision between an alpha particle and a gold nucleus, the distance of closest approach is 41.3 fermi. Calculate the energy of the particle. In a head-on collision between an alpha particle and a gold nucleus the distance of closest approach is 41.3 fermi. Calculate the energy of the particle. October 15, 2020 Category: Uncategorised (JEE Advanced Physics by BM Sharma + GMP Solutions) , Facebook Messenger WhatsApp Share this:TwitterFacebook Related