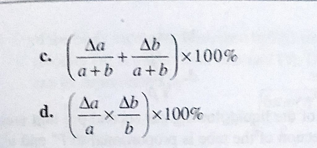
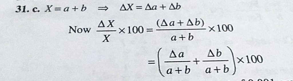
If X = a + b, the maximum percentage error in the measurement of X will be If X = a + b the maximum percentage error in the measurement of X will be September 15, 2020 Category: Uncategorised (JEE Advanced Physics by BM Sharma + GMP Solutions) , Facebook Messenger WhatsApp Share this:TwitterFacebook Related