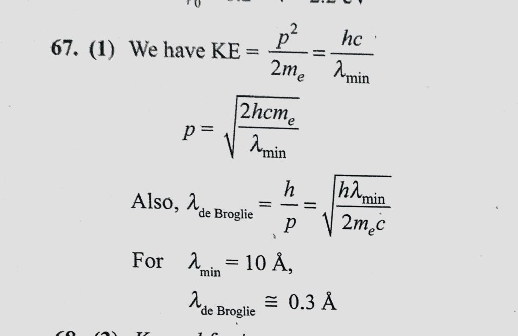
If the short wavelength limit of the continous spectrum coming out of a Coolidge tube is 10 A, then the de Broglie wavelength of the electrons reaching the target metal in the Coolidge If the short wavelength limit of the continous spectrum coming out of a Coolidge tube is 10 A then the de Broglie wavelength of the electrons reaching the target metal in the Coolidge October 14, 2020 Category: Uncategorised (JEE Advanced Physics by BM Sharma + GMP Solutions) , Facebook Messenger WhatsApp Share this:TwitterFacebook Related