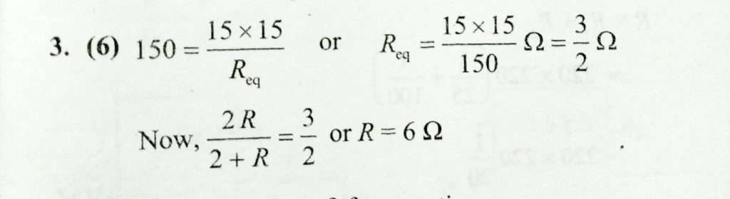
If the circuit shown in figure, poer dissipated is 150 W, then find the value of R ( in ohm ). If the circuit shown in figure poer dissipated is 150 W then find the value of R ( in ohm ). November 18, 2020 Category: Uncategorised (JEE Advanced Physics by BM Sharma + GMP Solutions) , Facebook Messenger WhatsApp Share this:TwitterFacebook Related