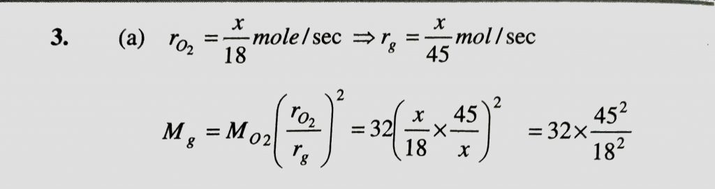
If some moles of O2 diffuse in 18 sec and same moles of an unknown gas diffuse in 45 sec then what is the molecular weight of the unknown gas If some moles of O2 diffuse in 18 sec and same moles of an unknown gas diffuse in 45 sec then what is the molecular weight of the unknown gas February 12, 2021 Category: Uncategorised (JEE Advanced Physics by BM Sharma + GMP Solutions) , Facebook Messenger WhatsApp Share this:TwitterFacebook Related