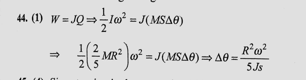
If earth suddenly stops rotating about its own axis, the increase in its temperature will be (Here, R = radius of the Earth, omega = angular velocity of rotation of the Earth, J = mechanical If earth suddenly stops rotating about its own axis J = mechanical omega = angular velocity of rotation of the Earth R = radius of the Earth the increase in its temperature will be (Here October 23, 2020 Category: Uncategorised (JEE Advanced Physics by BM Sharma + GMP Solutions) , Facebook Messenger WhatsApp Share this:TwitterFacebook Related