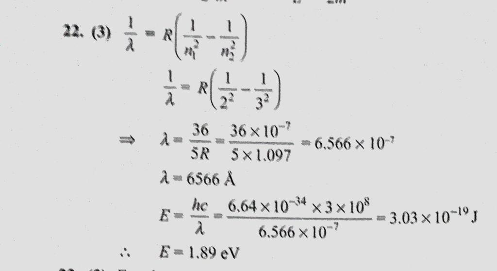
If an electron in n=3 orbit of hydrogen atom jumps down to n = 2 orbit, the amount of energy released and the wavelength of radiation emitted are If an electron in n=3 orbit of hydrogen atom jumps down to n = 2 orbit the amount of energy released and the wavelength of radiation emitted are October 15, 2020 Category: Uncategorised (JEE Advanced Physics by BM Sharma + GMP Solutions) , Facebook Messenger WhatsApp Share this:TwitterFacebook Related