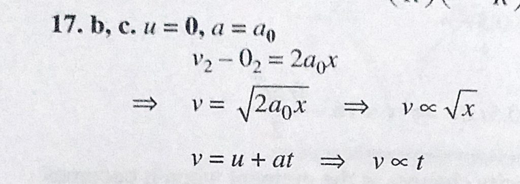
If acceleration is constant and initial velocity of the body is 0, then choose the correct statement. Symbols have their usual meaning. If acceleration is constant and initial velocity of the body is 0 then choose the correct statement. Symbols have their usual meaning. September 25, 2020 Category: Uncategorised (JEE Advanced Physics by BM Sharma + GMP Solutions) , Facebook Messenger WhatsApp Share this:TwitterFacebook Related