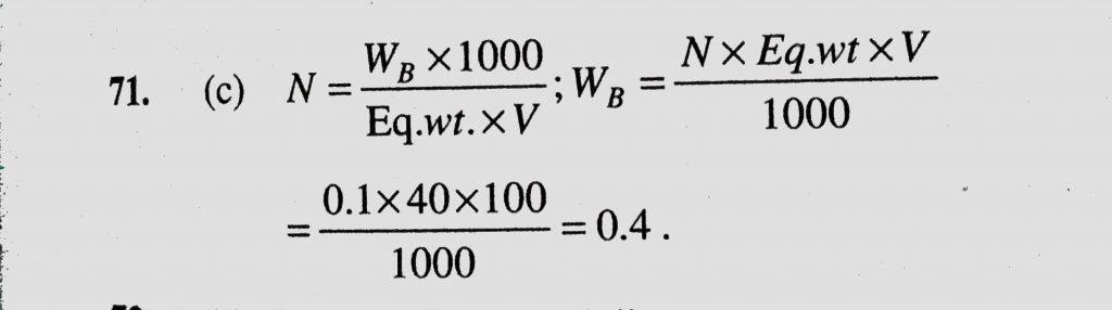
How many grams fo NaOH are equivalent to 100 ml of 0.1 N oxalic acid (a) 0.2 (b) 2.0 (c) 0.4 How many grams fo NaOH are equivalent to 100 ml of 0.1 N oxalic acid (a) 0.2 (b) 2.0 (c) 0.4 December 7, 2020 Category: Uncategorised (JEE Advanced Physics by BM Sharma + GMP Solutions) , Facebook Messenger WhatsApp Share this:TwitterFacebook Related