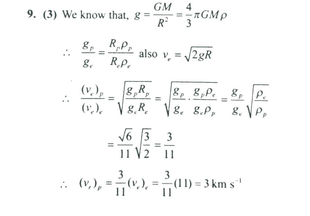
Gravitational acceleration on the surface of plane fo root 6 /11 g. where g is the gravitational acceleration on the surface of the earth. The average mass density of the planet is 23 times that of the earth. If the escape speed on the surface of the earth is taken to be 11 km/s the escape speed on the surface of the planet in km/swill be

