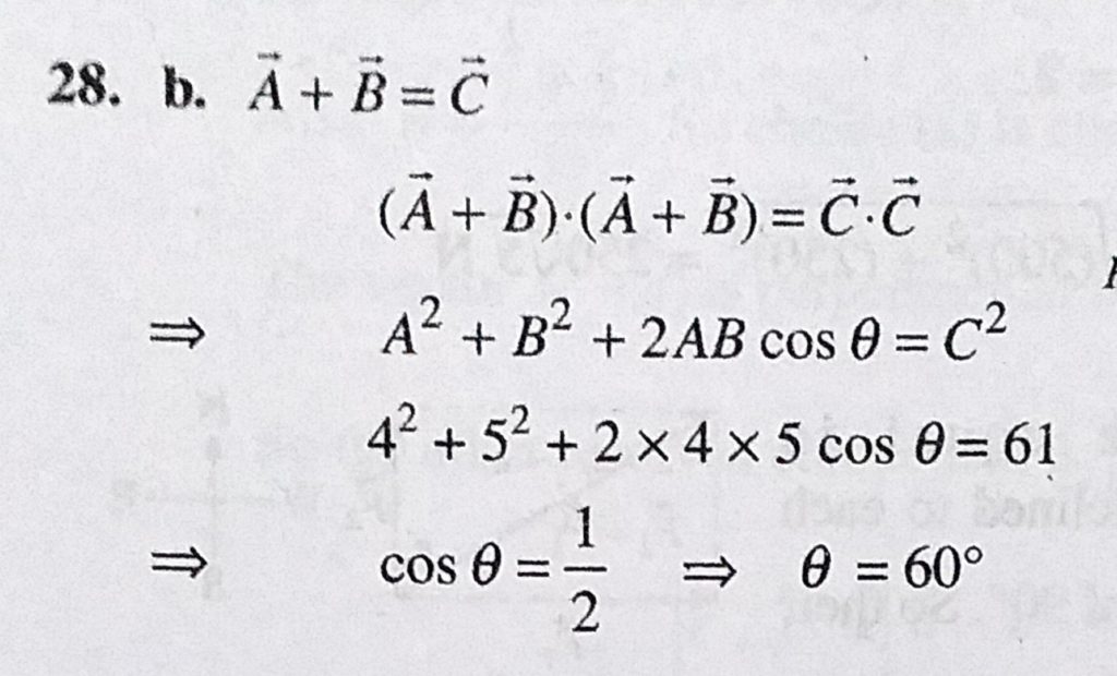
Given that A + B = C. If A = 4, B = 5 and C = root 61, the angle between A and B is B = 5 and C = root 61 Given tha A + B = C. If A = 4 the angle between A and B is September 17, 2020 Category: Uncategorised (JEE Advanced Physics by BM Sharma + GMP Solutions) , Facebook Messenger WhatsApp Share this:TwitterFacebook Related