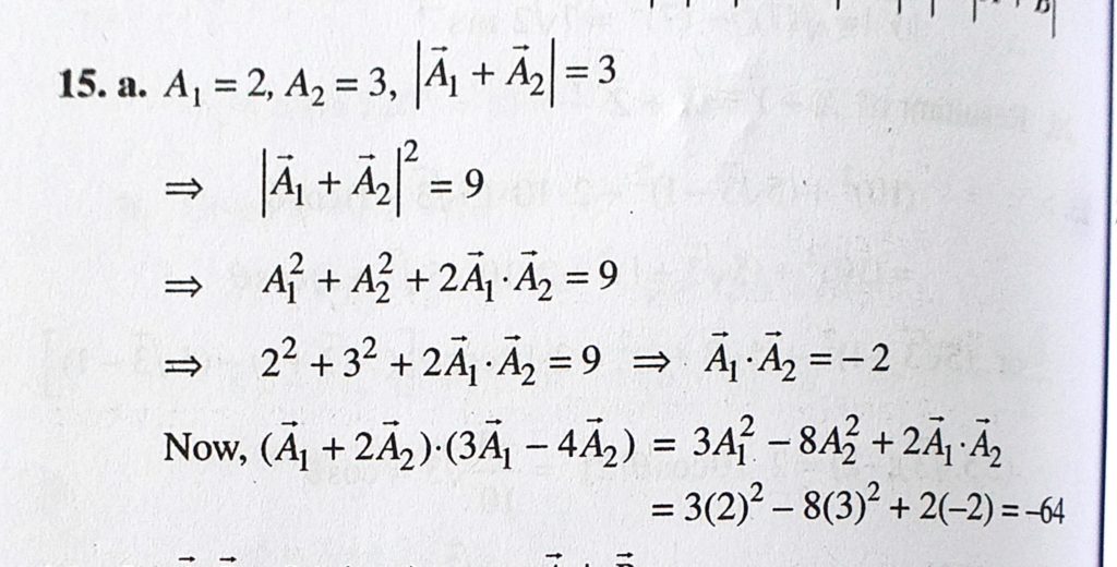
Given A1 = 2 A2 = 3 and A1 + A2 = 3. Find the value of (A1 + 2A2) * (3A1 – 4A2). Given A1 = 2 A2 = 3 and A1 + A2 = 3. Find the value of (A1 + 2A2) * (3A1 - 4A2). September 17, 2020 Category: Uncategorised (JEE Advanced Physics by BM Sharma + GMP Solutions) , Facebook Messenger WhatsApp Share this:TwitterFacebook Related