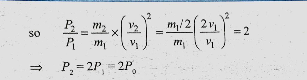
Gas at a pressure P0 is contained in a vessel. If the masses of all the molecules are halved and their speeds are doubled, the resulting pressure P will be equal to Gas at a pressure P0 is contained in a vessel. If the masses of all the molecules are halved and their speeds are doubled the resulting pressure P will be equal to October 27, 2020 Category: Uncategorised (JEE Advanced Physics by BM Sharma + GMP Solutions) , Facebook Messenger WhatsApp Share this:TwitterFacebook Related