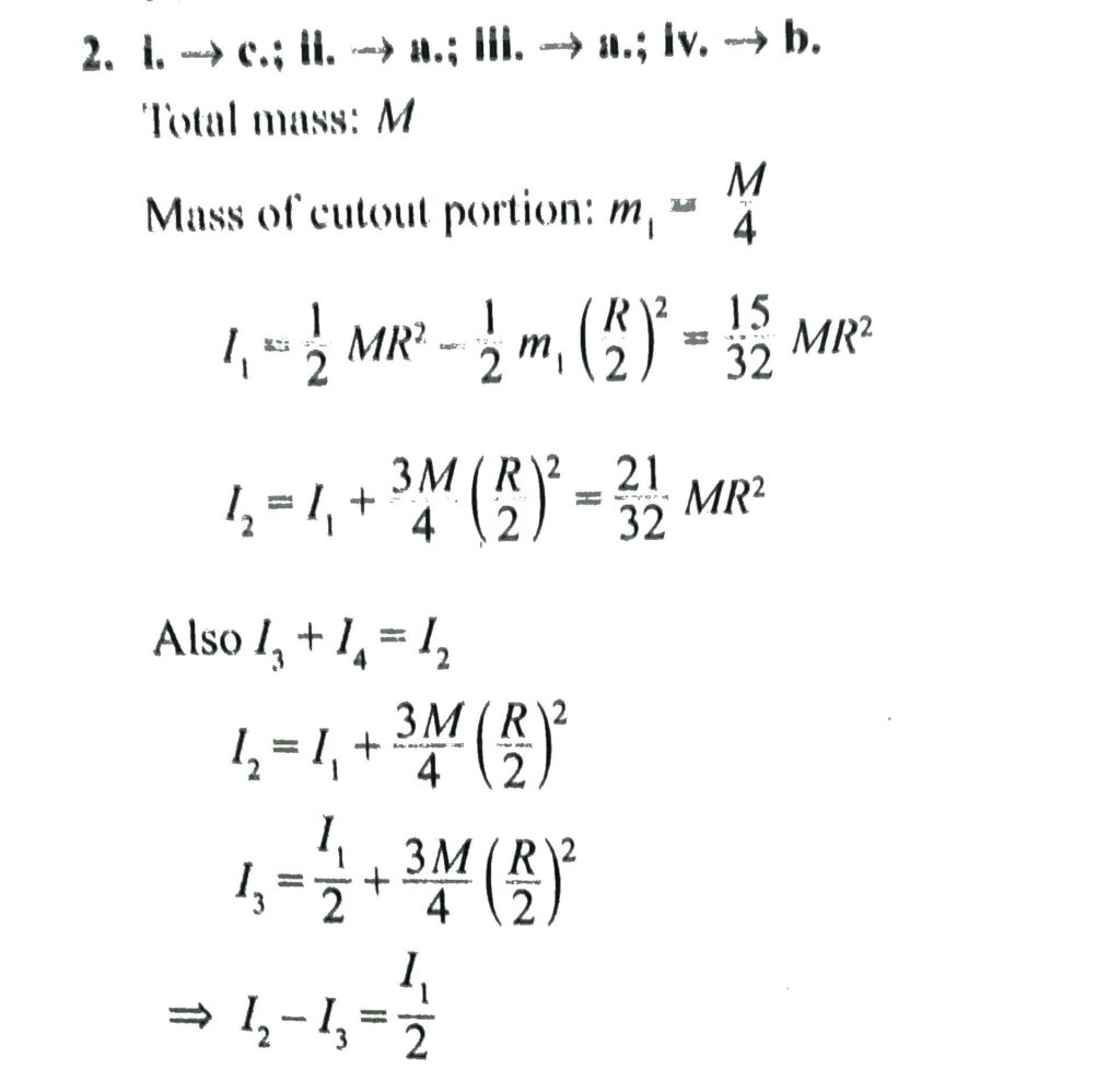
From a uniform disc of mass M and radius R, a concentric disc of radius R/2 is cut out. For the remaining annual disc: I 1 is the moment of inertia about axis ‘1’, I 2 about ‘2’, I 3 about ‘3’ and I 4 about ‘4’. Axes ‘1’ and ‘2’ are perpendicular to the disc and ‘3’ and ‘4’ are in the plane of the disc. Axes ‘2’, ‘3’ and ‘4’ intersect at a common point. Match the following.


