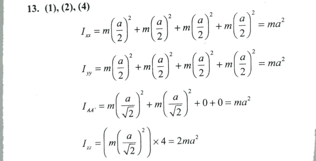
Four point mass, each of mass m are connected at a corner of a square of side ‘a’, by massless rods as shown in the figure. x and y axis are in the plane of the system and z axis is perpendicualr to the plane and passing through the centre of the square.

