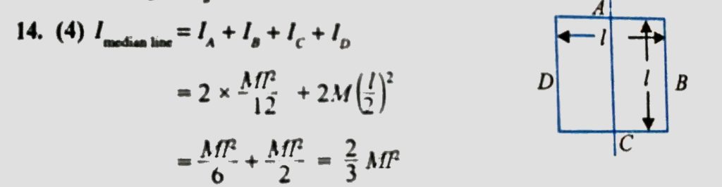
Four identical rods are joined end to end to form a square. The mass of each rod is M . the moment of interia of the square about the median line is Four identical rods are joined end to end to form a square. The mass of each rod is M . the moment of interia of the square about the median line is September 25, 2020 Category: Uncategorised (JEE Advanced Physics by BM Sharma + GMP Solutions) , Facebook Messenger WhatsApp Share this:TwitterFacebook Related