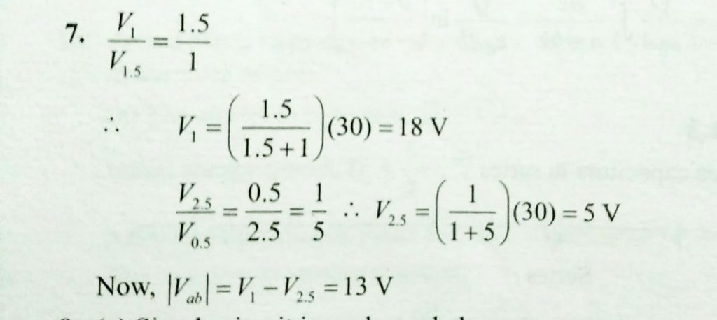
Four capacitors are connected as hsown in figure to a 30 V battery. Find the potential difference between points a and b. Four capacitors are connected as hsown in figure to a 30 V battery. Find the potential difference between points a and b. November 7, 2020 Category: Uncategorised (JEE Advanced Physics by BM Sharma + GMP Solutions) , Facebook Messenger WhatsApp Share this:TwitterFacebook Related