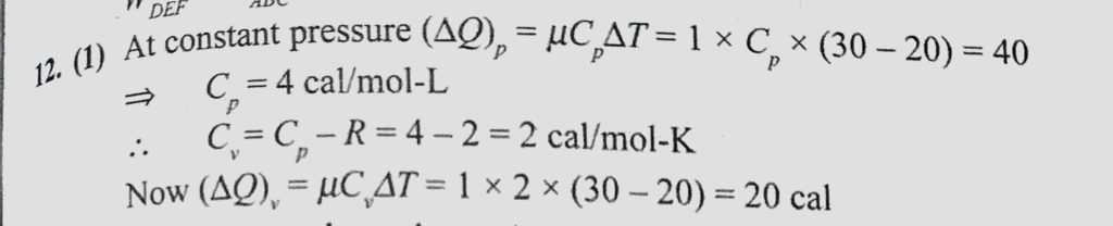
Forty calories of heat is needed to raise the temperature of 1 mol of an ideal monatomic gas from 20 C to 30 C at a constant pressure. The amount of heat required to raise its temperature Forty calories of heat is needed to raise the temperature of 1 mol of an ideal monatomic gas from 20 C to 30 C at a constant pressure. The amount of heat required to raise its temperature October 28, 2020 Category: Uncategorised (JEE Advanced Physics by BM Sharma + GMP Solutions) , Facebook Messenger WhatsApp Share this:TwitterFacebook Related