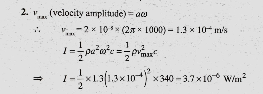
For plane waves in the air of frequency 1000 Hz and the displacement amplitude 2 * 10^-8 m, deduce (a) the velocity amplitude, and (b) the intensity. and (b) the intensity. deduce (a) the velocity amplitude For plane waves in the air of frequency 1000 Hz and the displacement amplitude 2 * 10^-8 m November 1, 2020 Category: Uncategorised (JEE Advanced Physics by BM Sharma + GMP Solutions) , Facebook Messenger WhatsApp Share this:TwitterFacebook Related