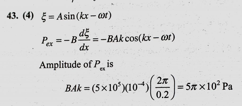
For a sound wave travelling towards +x direction, sinusoidal longitudinal displacement e at a certain time is given as a function of x (see figure). If bulk modulus of air is For a sound wave travelling towards +x direction sinusoidal longitudinal displacement e at a certain time is given as a function of x (see figure). If bulk modulus of air is November 7, 2020 Category: Uncategorised (JEE Advanced Physics by BM Sharma + GMP Solutions) , Facebook Messenger WhatsApp Share this:TwitterFacebook Related