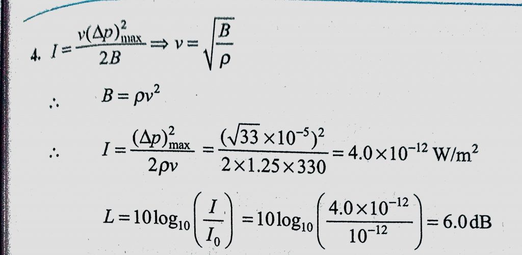
For a person with normal hearing, the faintest sound that can be heard at a frequency of 400 Hz has a pressure amplitude of about root 33 * 10^-5 Pa. Calculate the corresponding For a person with normal hearing the faintest sound that can be heard at a frequency of 400 Hz has a pressure amplitude of about root 33 * 10^-5 Pa. Calculate the corresponding November 7, 2020 Category: Uncategorised (JEE Advanced Physics by BM Sharma + GMP Solutions) , Facebook Messenger WhatsApp Share this:TwitterFacebook Related